Estación EMA: segunda etapa (2015)
A fines de 2014 y principios de 2015 se siguieron haciendo tareas de acondicionamiento y mejora de la estación meteorológica de ACEMU en la EMA.
El 22 de noviembre de 2014 se instaló un panel solar encima de la caseta meteorológico y se agregaron los circtuitos necesarios para alimentar la batería de la estación, de manera que a partir de ese momento la estación ganó en autonomía, al no tener que atender la recarga de la batería.
Como el techo restaurado de la caseta no la recubre y protege completamente, empezamos a tener problemas con las lluvias intensas. Enero de 2015 fue un mes de mucha lluvia, por lo que se decidió cambiar el recubrimiento plástico donde está instalada la estación. En la siguiente figura se observa el nuevo recubrimiento, que protege mejor a la estación y al transmisor de RF. En febrero se sustituyó la antena del transmisor por otra que diera mejor ganancia para disminuir las pérdidas de transmisión que estábamos sufriendo ultimamente. En la figura se puede ver la nueva antena casera, colcada a la izquierda de la estación meteorológica.
Superados los problemas de recepeción, desde mediados de marzo de este año estamos recibiendo datos de manera constante sin problemas y sin pérdidas.
También hace un tiempo que venimos recolectando datos de otras estaciones Davis ubicadas en los alrededores de Montevideo, y en particular de la estación Davis que se encuentra en la cabecera de la pista en la EMA. Los datos los extraemos de la propia página web de la estación.
En las siguiente gráficas mostramos los datos tomados con nuestra estación desde mediados de marzo hasta la fecha y los comparamos con los datos que reporta la estación Davis de la EMA. Donde hay huecos en los gráficos es debido a falta de datos reportados. En azul se muestran los datos recogidos por nuestra estación ACEMU y en naranja se muestran los datos de la estación Davis de la EMA.
<PRELOAD> http://acemu.org/metero/dygraph-combined-dev.js </PRELOAD>
<HTML> <h4>Temperaturas tomadas en el campo de vuelo de la EMA</h4> <div id=“graphT”></div> </HTML>
<JS>
g = new Dygraph(document.getElementById("graphT"),"http://acemu.org/metero/T.csv",{
xlabel: "fecha",
ylabel: "T(°C)",
animatedZooms: true,
height: 300,
width: 600,
colors: ["rgb(0,80,255)","rgb(255,50,10)"],
series: {
'EMA': {
strokePattern: [5,3],
showInRangeSelector: true,
}
},
showRangeSelector: true,
rangeSelectorHeight: 30,
rangeSelectorPlotStrokeColor: 'rgb(255,50,10)',
rangeSelectorPlotFillColor: 'lightyellow',
strokeWidth: 2.3,
drawPoints: false,
showRoller: true,
hideOverlayOnMouseOut: false,
stepPlot: false
}); </JS>
<HTML> <h4>Presión</h4> <div id=“graphP”></div> </HTML>
<JS>
g = new Dygraph(document.getElementById("graphP"),"http://acemu.org/metero/P.csv",{
xlabel: "fecha",
ylabel: "P(hPa)",
animatedZooms: true,
height: 300,
width: 600,
colors: ["rgb(0,80,255)","rgb(255,50,10)"],
series: {
'EMA': {
strokePattern: [5,3],
showInRangeSelector: true,
}
},
showRangeSelector: true,
rangeSelectorHeight: 30,
rangeSelectorPlotStrokeColor: 'rgb(255,50,10)',
rangeSelectorPlotFillColor: 'lightyellow',
strokeWidth: 2.3,
drawPoints: false,
showRoller: true,
hideOverlayOnMouseOut: false,
stepPlot: false
}); </JS>
<HTML> <h4>Humedad</h4> <div id=“graphH”></div> </HTML>
<JS>
g = new Dygraph(document.getElementById("graphH"),"http://acemu.org/metero/H.csv",{
xlabel: "fecha",
ylabel: "H(%)",
animatedZooms: true,
height: 300,
width: 600,
colors: ["rgb(0,80,255)","rgb(255,50,10)"],
series: {
'EMA': {
strokePattern: [5,3],
showInRangeSelector: true,
}
},
showRangeSelector: true,
rangeSelectorHeight: 30,
rangeSelectorPlotStrokeColor: 'rgb(255,50,10)',
rangeSelectorPlotFillColor: 'lightyellow',
strokeWidth: 2.3,
drawPoints: false,
showRoller: true,
hideOverlayOnMouseOut: false,
stepPlot: false
}); </JS>
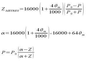
Corrección de valores de presión a nivel del mar
Los valores de presión leidos por el sensor, corresponden al lugar y la altura a la que se encuentra el mismo. Pero para poder comparar medidas de presión tomadas por diferentes sensores a difersentes alturas hay que corregir el valor leido para llevarlo al valor que tendría a nivel del mar, que es la altura de referencia.
Para eso en nuestro caso estamos empleando al fórmula de Babinet:
En esa fórmula el valor de Z corresponde a la altura a la cual se encuentra el barómetro y <html>θm</html> debería ser la temperatura media de la columan de aire encima del barómetro.
… algo hay que poner…
… hay diversos criterios …
Por ejemplo, los franceses consideran un gradiente de 0.5 °C cada 100 metros (vaya uno a saber hasta adonde). Los italianos, simplemente por no imitar a los franceces usan un gradiente de 0.6 °C/100m. En U.K. simplemente toman la temperatura ambiente del sitio, total, el resultado no cambia demasiado. Hemos optado por no hacerle caso a los franceses e italianos.
— Tabare Perez 18/06/2015 07:43


